INFO PEMILIHAN 2008

INFO PEMILIHAN 2008

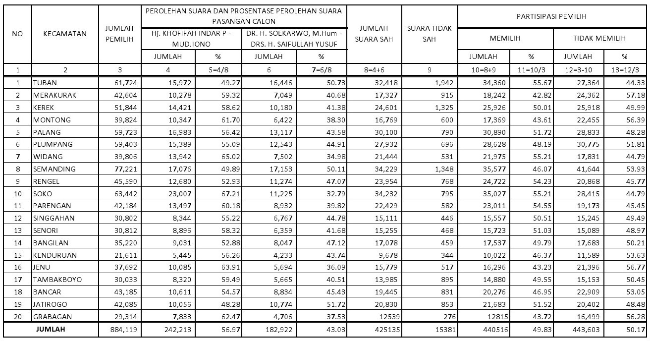
HASIL PEMILU GUBERNUR JAWA TIMUR PUTARAN I DI KAB. TUBAN TAHUN 2008

(Klik gambar untuk download file .pdf)

 

HASIL PEMILU GUBERNUR JAWA TIMUR PUTARAN II DI KAB. TUBAN TAHUN 2008

(Klik gambar untuk download file .pdf) 

Share this artikel :

facebook twitter email whatapps

Dilihat 1,414 Kali.
🔊 Putar Suara